首页 新闻动态 正文
    12 2014.09
关于2015年推免生名单、外校名额补偿推荐学生名单和推免替补候选学生名单的公示
日期:2014.09.12 点击:

各学院、各相关部门、2011级普通本科学生:

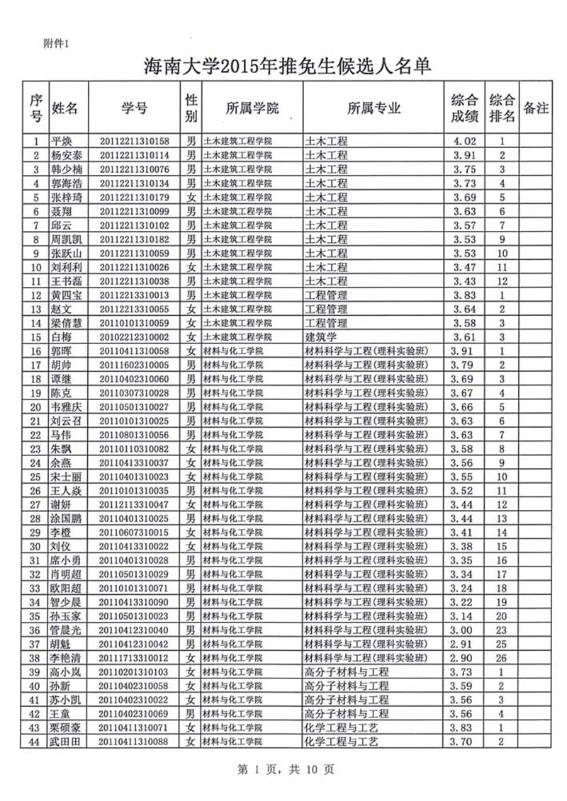
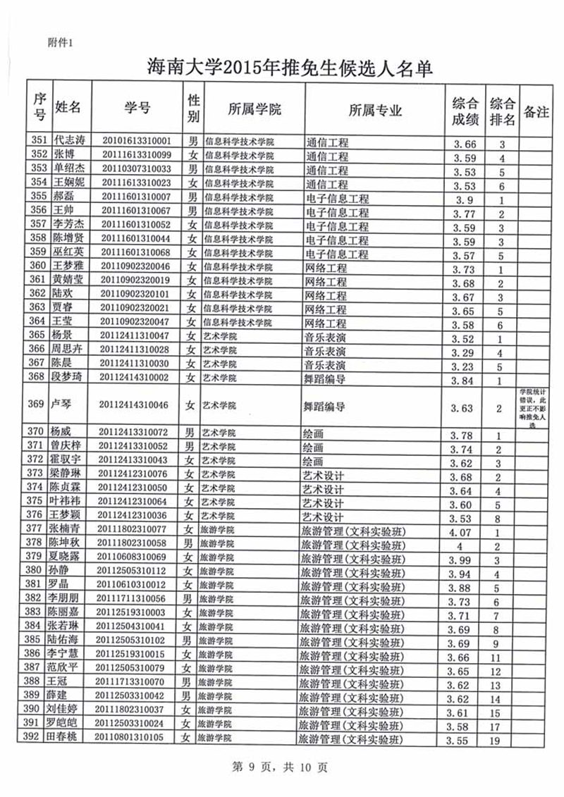
根据教育部办公厅《关于进一步完善推荐优秀应届本科毕业生免试攻读研究生工作办法的通知》(教学厅[2014]5号)精神和我校《推荐优秀应届本科毕业生免试攻读硕士学位研究生工作实施办法》(海大办[2014]31号)、《关于做好推荐2015年应届优秀本科毕业生免试攻读硕士学位研究生工作的通知》(海大教[2014]59号)等文件要求,我校各学院已完成了推免生的推荐基本工作,现对我校具有2015年推免指标的学生名单进行公示,具体见附件1。

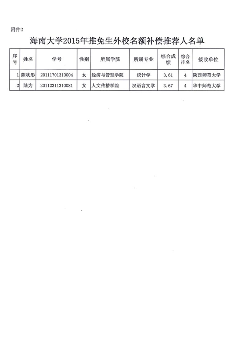
根据《2015年教育部直属师范大学接收外校推免生名额补偿方案》以及陕西师范大学、华中师范大学的要求,经学院推荐,陈秋彤和陆为等2名同学获得名额补偿指标(使用相关学校推免指标),现予以公示,具体信息见附件2。

各学院均确定替补候选学生,以便公示期间出现不具备推荐条件学生等情况时,及时顺延替补。具体名单见附件3。

公示期为2014年9月12日至9月24日,公示期间凡对名单有异议者,请以书面形式并署真实姓名和联系方式送交海南大学推荐优秀应届本科毕业生免试攻读硕士学位研究生工作小组办公室(办公楼105)。联系电话:0898-66279011,联系人:杨老师。

附件:

1、海南大学2015年推免生候选人名单

2、海南大学2015年推免生外校名额补偿推荐人名单

3、海南大学2015年推免生替补候选人名单 海南大学推荐优秀应届本科毕业生

免试攻读硕士学位研究生工作小组

二〇一四年九月十二日

1

2

3

4

5

6

7

8

9

10

2-1

3-1